Redox Reactions Worksheet

No no 3 6.
Redox reactions worksheet.Worksheet 5 balancing redox reactions in acid and basic.Cathode and is negative 32.Balance the atom undergoing redox changes if necessary.
They are also involved in many electrochemical processes by which we obtain useful materials.Page 3 redox practice worksheet 31.The diagram shown represents a chemical cell at 298k and 1 atmosphere.
Balancing redox equations worksheet chemistry.Redox reactions worksheets dsoftschools redox reactions worksheets some of the worksheets below are redox reactions worksheets useful trick to help identify oxidation and reduction step by step guide to balance any redox equations explanation of oxidation reduction oxidizing agent reducing agent and rules for assigning an oxidation number.Oxidation reduction reactions worksheet chemistry.
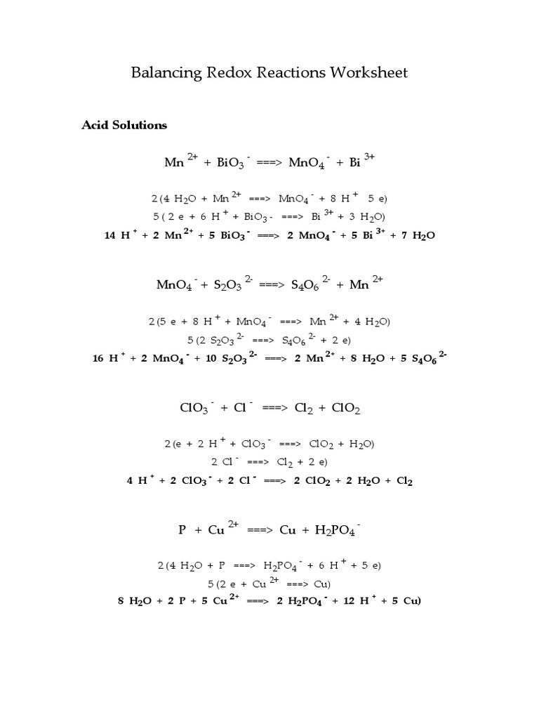
Mn 2 bio3 æ mno4 bi 3 mno4 s2o3 2 æ s4o6 2 mn 2.Mno 2 mn 2o 3 balance each redox reaction in acid solution using the half reaction method.Teo 3 2 n 2o 4 te no 3 10.
So 4 2 so 2 7.Redox practice worksheet the leon m.Anode and is positive b.
In this electrolytic cell electrode a is designated as the a.Identify the changes in oxidation states and write the oxidation half reaction and the reduction half reaction and for each half reaction.Table of contents oxidation reduction reactions also called redox reactions involve the transfer of electrons from one species to another.
These kinds of reactions are at the heart of energy producing devices such as batteries and fuel cells.Cr 2o 7 2 cr3 5.Worksheet 5 balancing redox reactions in acid and basic solution balance each half reaction in basic solution.
H 2o 2 cr 2o 7 2 o 2 cr 3 9.Cathode and is positive d.














































