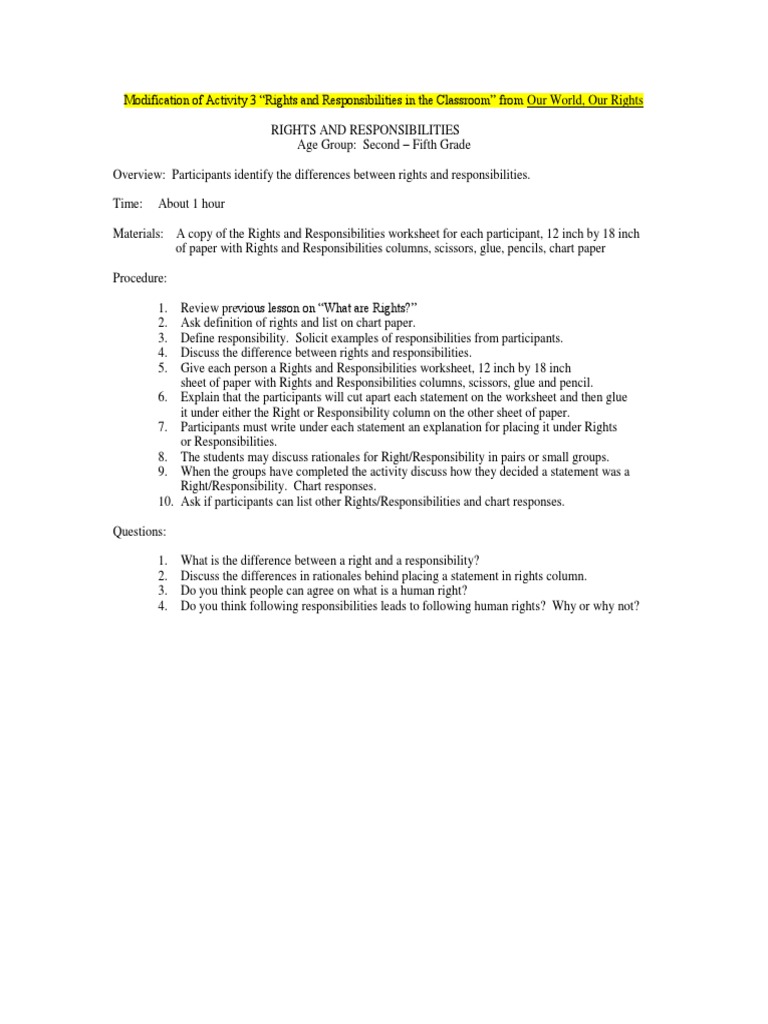
Rights And Responsibilities Worksheet

Creditors criteria and borrowers rights and responsibilities for teachers 9th 12th standards discover what criteria creditors use for making loans the 3 cs of credit and impress upon your young adults the rights and responsibilities related to using credit.
Rights and responsibilities worksheet.Rights and responsibilities 30 ideas rights and.Every human being alive has some fundamental human rights which they are entitled to.Citizen s rights and responsibilities use this 25 page resource with your 3rd 4th or 5th grade classroom or home school students.
I hope this will help you with your social studies unit.I hope this will help you with your social studies unit.Citizen rights and responsibilities worksheets teaching.
There is also a worksheet students can do to determine rights and responsibilities of classroom citizens.Rights and responsibilities sort worksheets teaching.Complete worksheet 2a rights and responsibilities balance scale online with us legal forms.
There is also a worksheet students can do to determine rights and responsibilities of classroom citizens.Save or instantly send your ready documents.Students can either cut and paste them into the correct column or write them in and cross them out whichever is preferred.
Docx 46 59 kb this worksheet has rights responsibility examples.Rights and responsibilities lesson plans worksheets.This is a pocket chart sorting activity to use in whole or small group to review some rights and responsibilities for being us citizens.
Home school town usa.In school your kids might have learnt about the rights they have as a citizen of a place.With purchase you get a reading passage discussion questions sort and a vocabulary matching game.
This is a pocket chart sorting activity to use in whole or small group to review some rights and responsibilities for being us citizens.Pupils role play as individuals seeking or providing credit as well.This resource includes a great worksheet to support teaching children to think about their rights and responsibilities both personal and to others.
Easily fill out pdf blank edit and sign them.Worksheet 2a rights and responsibilities balance scale.Rights and responsibilities worksheets teacher worksheets some of the worksheets displayed are work 2a rights and responsibilities balance scale rights and responsibilities employment rights and responsibilities work teachers guide lesson 1 establishing classroom rules rights and responsibility my rights my responsibilities teacher lesson plan an introduction to human rights and.
It helps students understand that citizens have rights and responsibilities.Use this resource to teach ks1 and ks2 children about how their behaviour relates to their social rights and responsibilities.After they do that they have the option of sorting the same examples in a specific location i e.
Rights and responsibilities worksheet kids academy rights and responsibilities worksheet.Rights and responsibilities worksheets teaching.


































































